bfs 대해 알아보기 전에 그래프에 대한 기초가 필요하다. https://hongcode.tistory.com/32를 참고 하자.
너비 우선 탐색(bfs)
BFS(Breadth First Search) 이름 뜻 그대로 임의의 정점에서 시작해서 인접한 정점을 먼저 탐색하는 방법으로, 시작 정점으로부터 가까운 정점을 먼저 방문하고 멀리 떨어져 있는 정점을 나중에 방문하는 순회 방법입니다.
장점
- 너비를 우선으로 탐색하기 때문에 답이 되는 경로가 여러 개인 경우에도 최단 경로임을 보장
- 최단 경로가 존재한다면, 어느 한 경로가 무한히 깊어진다 해도 최단 경로를 반드시 찾을 수 있다.
- 노드 수가 적고 깊이가 얕은 해가 존재할 때 유리하다.
단점
- 재귀 호출을 사용하는 DFS와 달리 큐를 이용해 다음에 탐색할 노드들을 저장하기 때문에 노드의 수가 많을수록 필요 없는 노드들까지 저장해야 하기 때문에 더 큰 저장공간 필요.
- 노드의 수가 늘어나면 탐색해야 하는 노드가 많아지기 때문에 비효율적
큐를 이용해서 구현한다.
https://hongcode.tistory.com/29
큐(Queue)
Queue의 사전적 의미는 무엇을 기다리는 사람, 차량 등의 줄 혹은 줄을 서서 기다리는 것을 의미한다. 이처럼 줄을 지어 순서대로 처리되는 자료구조가 큐이다. Queue는 먼저 들어간 것이 먼저 나오
hongcode.tistory.com
- 탐색 시작 노드를 큐에 삽입하고 방문했는지 체크해준다
- 큐에서 top노드를 꺼낸 뒤에 해당 노드의 인접 노드 중 방문하지 않은 노드를 모두 큐에 삽입 후 방문했는지 체크해준다.
- 2번 반복

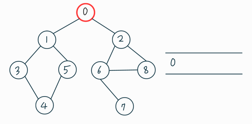
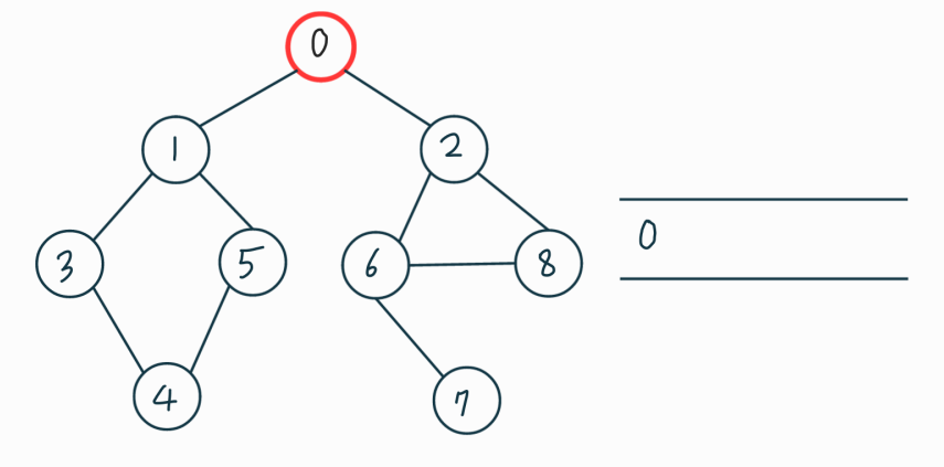
맨 처음 0번 정점부터 방문을 시작한다. 0을 큐에 집어넣는다.

0을 큐에서 pop 해주고 0과 인접하고 방문하지 않은 점을 큐에 push 해준다.

큐에서 top에 있는 1을 pop해주고 3, 5를 push 해줍니다. 그리고 top에 있는 2를 pop해주고 6, 8을 push 해줍니다.

같은 과정.. 큐에서 pop 되는 순서대로 탐색하면 bfs가 잘 동작하는 걸 확인할 수 있다.
여기서 0번 노드, 즉 시작점을 방문한 것을 0단계라 하고 그다음 그림부터 1, 2, 3단계라고 부를 때 각 단계의 정점들은 그 안에서 방문 순서가 바뀔 수는 있지만, 다른 단계와는 방문 순서가 절대 뒤섞이지 않는다. 그러므로 각 간선의 비용이 전부 1로 같다고 생각하면 K단계에 방문하는 정점들은 시작점으로부터 최소비용이 K이다.
특정 조건의 최단 경로 알고리즘을 계산할 때 사용하는 경우가 많다.
코드
#include<iostream>
#include<vector>
#include<queue>
#include<algorithm>
using namespace std;
bool visited[10];
vector<int>adj[10];
queue<int>q;
void bfs(int st){
visited[st]=1;
q.push(st);
while(!q.empty()){
int now = q.front();
q.pop();
for(int i=0; i<adj[now].size(); i++){
int next = adj[now][i];
if(!visited[next]){
visited[next]=1;
q.push(next);
}
}
}
}
bfs의 시간 복잡도
O(V+E)
BFS도 DFS와 마찬가지로, 인접 리스트를 사용하였을 때의 시간 복잡도는 정점과 간선의 개수의 합인 O(V+E)이다.
관련 문제
- BOJ 1260 DFS와 BFS <https://www.acmicpc.net/problem/1260>
- BOJ 2644 촌수계산 <https://www.acmicpc.net/problem/2644>
- BOJ 2178 미로탐색 <https://www.acmicpc.net/problem/2178>
- BOJ 6593 상범빌딩 <https://www.acmicpc.net/problem/6593>
- BOJ 5427 불 <https://www.acmicpc.net/problem/5427>
- BOJ 2206 벽 부수고 이동하기 <https://www.acmicpc.net/problem/2206
- BOJ 7576 토마토 <https://www.acmicpc.net/problem/7576>
- BOJ 7562 나이트의 이동 <https://www.acmicpc.net/problem/7562>
- BOJ 5014 스타트링크 <https://www.acmicpc.net/problem/5014>
- BOJ 1697 숨바꼭질 <https://www.acmicpc.net/problem/1697>
- BOJ 16397 탈출 <https://www.acmicpc.net/problem/16397>
- BOJ 9019 DSLR <https://www.acmicpc.net/problem/9019>
- BOJ 1525 퍼즐 <https://www.acmicpc.net/problem/1525>
- BOJ 1039 교환 <https://www.acmicpc.net/problem/1039>
'알고리즘' 카테고리의 다른 글
| 깊이 우선 탐색(dfs) (0) | 2022.03.11 |
|---|---|
| 분할정복(Divide and Conquer) (0) | 2022.03.11 |
| 탐욕적 기법(Greedy Algorithm) (0) | 2022.03.10 |
| 완전탐색(exhaustive search) : Brute-force (0) | 2022.03.09 |
| 시간 복잡도 & 빅오표기법 (0) | 2022.03.09 |
댓글