STL
그래프(Graph)
홍code
2022. 3. 11. 10:33
- 현실 세계의 사물이나 추상적인 개념 간의 연결관계를 표현한 것
- 일반적이고 강력한 자료구조
- 정점(Node or Vertex)과 간선(Edge or Branch)으로 구성
- G=(V, E)로 표현 가능 , V: 정점 집합 / E: 간선 집합
주요 용어 정리
경로 Path
- 끝과 끝이 서로 연결된 간선들을 순서대로 나열한 것
- 단순 경로: 경로 중 한 정점을 최대 한 번만 지나는 경로 의미(일반적)

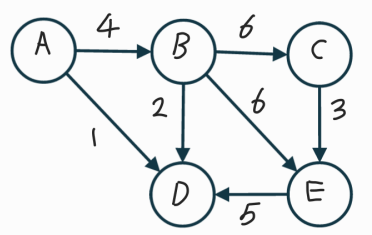
ex) A --> E로 가는 경로 A --> B --> E A --> B --> C --> E A --> B --> D --> E
사이클 cycle
- 시작한 점에서 끝나는 경로
- a.k.a. ‘회로’
- 단순 사이클: 같은 정점을 두 번 이상 방문하지 않는 사이클 (일반적 / 시작점 제외)

ex) 단순 사이클 A --> B --> D --> A A --> B --> E --> D --> A A --> B --> C --> E --> D --> A ...
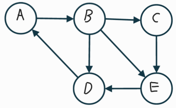
방향그래프 Directed Graph
- 간선에 방향성이 있는 그래프

- ‘비대칭적’: 주로 방향 그래프 사용
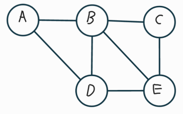
무방향그래프 unDirected Graph
- 간선에 방향성이 없는 그래프
- a.k.a. ‘양방향 그래프(Bidirection)’ :A-C = A->C && A<-C

- ‘대칭적’: 주로 무방향 그래프 사용
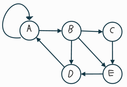
루프 Loop
- A->A와 같이 사이클을 이루는 것

가중치 weight
- 간선에 주어진 값
- A->C로의 시간, 비용, 거리 등…

차수 Degree
- ‘분지수’
- 정점과 연결되어 있는 간선의 개수
- 인접한 정점이나 edge의 개수
- 내향분지수(indegree): 들어오는 간선 수
- 외향분지수(outdegree): 나가는 간선 수

ex) B의 차수 : B's degree = 4 : B's indegree = 1 : B's outdegree = 3
인접 adjacent / incident
- Adjacent : u, v 정점의 인접

- Incident : 정점 u에 간선 e(u, v) 인접 (부속)

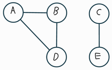
연결 성분 connected component
- 연결 성분 : 연결된 한 덩어리

여러가지 그래프
- 완전 그래프 Complete Graph : 모든 정점이 edge로 연결되어 있을 경우 ; n개의 정점과 n*(n-1)/2 개의 엣지
- 단순 그래프 Simple Graph : 둘 사이가 이진관계
- 다중 그래프 Multi Graph : 같은 간선이 중복됨
- 부분 그래프 Subgraph : 원래 그래프의 일부, 엣지 노출x
인접행렬 adjacency metrix
- 정점의 개수를 n개라고 했을 때 n*n 개수를 표현하는 이차원 배열을 생성
- adj[a] [b] = 0 or 1 or 가중치 값 ( 간선 유무 or 가중치 )
- 공간복잡도 O(|n|^2)

인접리스트 adjacency list
- 원래 연결리스트를 이용해서 구현
- 보다 쉬운 구현 => vector와 같은 동적배열 이용
- 헤드노드를 배열로 묶음 & 인접한 애들을 list로 => 정점에 바로 접근하도록

- 공간복잡도 O(V+E) , V는 정점개수, E는 간선개수
- 무방향: 양쪽 둘 다로 가는 방향 엣지 추가시 리스트로 표현 가능

- 따라서 같은 표현이라 인접리스트만 가지고 무방향인지 방향인지 확정할 수x
인접리스트 코드
#include <iostream>
#include <algorithm>
#include <vector>
using namespace std;
vector<vector<<int>> v(4);
int main(){
int n, m;
cin >> n >> m;
for (int i=0; i < m; i++){
int u,v;
cin>>u>>v;
v[u].push_back(v);
}
}
